Exchange the CEC enclosure system backplane
Before you begin
CAUTION:
This assembly contains mechanical moving parts. Use care when
you service this assembly. (C025)
Use approved ESD procedures to prevent damage.
Attention:
- This procedure is not a stand-alone procedure. Customer disruption and damage to the hardware might occur when microcode and power boundaries are not in the proper conditions for this service action.
- If a serviceable event FRU repair directed you to this procedure, the microcode and power boundaries are already set.
- If a serviceable event FRU repair did not direct you to this procedure, see MAP1230 Replace a FRU without using a serviceable event.
Notes:
- All the cables and FRUs to be removed must be uniquely identified so they can be reinstalled correctly.
- If an installed earthquake resistance kit prevents you from accessing this FRU, refer to MAP1600.
Preparing the CEC enclosure to remove and replace the system backplane
Procedure
- Use a replacement part with a valid DS8000® part number to ensure it has the proper firmware, VPD, and/or configuration to ensure it is compatible with the DS8000 service procedures. Attempting to use a generic server FRU might fail and require next level of support to recover.
- All parts being removed must be marked or
identified so they can be installed into their original locations.
Note: Failure to do this can extend the service duration and may require next level of support assistance.
- The management console keyboard can be moved between the operating and stowed position as needed to allow service clearance above the CEC enclosure.
- Use the front and rear blue identify
LEDs to determine the CEC enclosure to be repaired. Both blue LEDs
should be lit.
- CEC control panel blue identify LED
as shown in Figure 1. - CEC enclosure rear blue identify LED
as shown in Figure 2.
Note: If both the front and rear CEC enclosure identify LEDs are not lit, use the location code listed in the serviceable event FRU list. See MAP1245 Finding FRUs by using location codes.Figure 1. Control panel LEDs 
Figure 2. CEC enclosure rear LEDs 
- CEC control panel blue identify LED
- Verify that the CEC enclosure is in the
power-off state. See Figure 3
- At the rear of the CEC enclosure, view all CEC enclosure power supply DC LEDs.
- Are all DC (output) LEDs flashing?
- Yes, continue with the next step.
- No, do not continue with this FRU replacement. Go to MAP4841 CEC enclosure fails to power off during service processor repair (Models 961, 98x).
Figure 3. Location of the power supplies and LEDs (Models 981, 985, 986) 
- Attach the electrostatic discharge (ESD)
wrist strap. Attention:
- Attach an electrostatic discharge (ESD) wrist strap to an unpainted metal surface of your hardware to prevent the electrostatic discharge from damaging your hardware.
- When using an ESD wrist strap, follow all electrical safety procedures. An ESD wrist strap is used for static control. It does not increase or decrease your risk of receiving electric shock when using or working on electrical equipment.
- If you do not have an ESD wrist strap, just prior to removing the product from ESD packaging and installing or replacing hardware, touch an unpainted metal surface of the system for a minimum of 5 seconds.
- Disconnect the power cords
from the CEC with the DC (output)
LEDs flashing. See Figure 4.
Notes:- Ensure the power cords are correctly labeled.
- The power supply LEDs might continue to flash for up to 20 seconds while internal power is discharged.
- The power cord is fastened to the system using the hook-and-loop
fastener
. Unstrap the fastener to allow the
enclosure to be placed in the service position.
Figure 4. Removing the power cords (Models 981, 985, 986) 
- Observe the CEC enclosure control
panel green power button LED
. See Figure 5. - If it is off, go to the next step.
- If it is flashing, the CEC enclosure is still in the power-off state. DO NOT CONTINUE. Ensure that you have unplugged the power cables.
Figure 5. Control panel LEDs 
- Disconnect all remaining cables from the
rear of the CEC enclosure. See Table 1 and Figure 6.
Table 1. CEC enclosure cable connections Connection Description P1-T3 (HMC 1) FSP Ethernet P1-T4 (HMC 2) FSP Ethernet P1-C3-T1, P1-C3-T2 PCIe to I/O enclosures (if C3 present) P1-C5-T1, P1-C5-T2 PCIe to I/O enclosures (if C5 present) P1-C6-T1, P1-C6-T2 PCIe to I/O enclosures P1-C7-T1, P1-C7-T2 PCIe to I/O enclosures P1-C8-T1, P1-C8-T2 i2c to RPCs P1-C10-T1, P1-C10-T2 LPAR Ethernet P1-C10-T3, P1-C10-T4 Customer network (optional feature, if used) P1-C11-T1, P1-C11-T2
P1-C11-T3, P1-C11-T4Customer network (optional feature, if used) P1-C12-T1, P1-C12-T2 RS485 to RPCs - Remove filler plugs (if present) at the
rear of the CEC enclosure. See Figure 6.
- Remove the filler plugs (if present) from USB ports P1-T1, P1-T2, P1-C1-T2, P1-C1-T3 and serial port P1-C1-T1.
- Remove the filler plugs (if present) from Ethernet ports P1-C10-T3 and P1-C10-T4.
- Remove the filler plugs (if present) from Ethernet ports P1-C11-T1, P1-C11-T2, P1-C11-T3, and P1-C11-T4.
Figure 6. CEC enclosure location codes (rear view) (Models 981, 985, and 986) 
- Remove the power supplies. Note: Place all removed components that will be reinstalled later in this procedure, on an electrostatic discharge (ESD) mat.
- Ensure that you have the electrostatic discharge (ESD) wrist strap attached. If not, attach it now.
- To unseat the power supply from its position in the system, push
the terracotta locking-tab
in the direction shown in Figure 7. - Pull the power supply
away from the system, as shown in Figure 7.
Figure 7. Removing a CEC enclosure power supply 
- Remove the front cover.
- Ensure that you have the electrostatic discharge (ESD) wrist strap attached. If not, attach it now.
- Remove the two shipping screws
(if present) that secure the system
to the rack. - Pull the cover away from the system. The cover has an indentation where you can hold onto it more easily.
Figure 8. Removing the front cover 
- Place the CEC enclosure into the service
position.
- Remove the front screws
(if present) that secure the enclosure
to the rack. Figure 9. Removing the front screws 
- Release the side latches
and pull the latches to slide out
the enclosure assembly. Figure 10. Releasing the side latches 
- Remove the front screws
- Remove the service access cover.
- Ensure that you have the electrostatic discharge (ESD) wrist strap attached. If not, attach it now.
- Release the latch by pushing the release latch
in the direction shown. - Slide the cover
off the system unit. When the front
of the service access cover has cleared the upper frame ledge, lift
the cover up and off the system unit. Attention: For proper cooling and airflow, replace the cover before turning on the system.
Figure 11. Removing the service access cover 
- Remove the control panel. Press
the terracotta tab and then slide the control panel straight out of
the slot.
Figure 12. Removing the control panel 
- Remove the Slimline media device (DVD),
if present.
- Press the retaining tab
toward the system until the Slimline
media device is unseated from the media bay. See Figure 13. - Pull the Slimline media device
away from the system, in the direction
shown.
Figure 13. Removing the Slimline media device 
- Press the retaining tab
- Unplug but do not remove the disk drives
from their slots. Pull the drives out far enough to prevent them from
interfering with the removal of the disk drive backplane.
- Unlock the drive handle
by pressing the handle latch
and pulling it out toward you, as
shown in Figure 14. If the handle is
not all the way out, the drive cannot slide out of the system.
- Support the bottom of the drive as you slide it out of the system. Hold the drive by its sides.
Figure 14. Removing a disk drive 
- Unlock the drive handle
Removing the CEC enclosure system backplane
About this task
To remove the CEC enclosure system backplane, complete the following steps:
Procedure
- Ensure that you have the electrostatic discharge (ESD) wrist strap attached. If not, attach it now.
- Remove the fan cage.
- Release the blue touch point latches
by pulling them up, as shown in Figure 15. This
action unseats the fan cage. - Pull up the fan cage out of the system by holding on
to the blue touch point latches
.
Figure 15. Removing the fan cage 
- Release the blue touch point latches
- Remove the cover from the front SAS
cable. Grasp the handle
and pull away from the side of the
system, then slide the cover toward the rear to remove it as shown
in Figure 16.
Figure 16. Removing the SAS cables cover 
- Label the front SAS cables, paying attention
to the connectors each cable attaches to on the disk drive backplane
and the SAS RAID internal adapter. Disconnect the front SAS cables
from the disk drive backplane by pressing the latch
and unplugging the cable as shown
in Figure 17.
Figure 17. Disconnecting the front SAS cables 
- Label and remove the signal, and control
panel cables
, and the power Y cable
, from the disk drive backplane and
system backplane. See Figure 18.
Figure 18. Removing the power, signal, and control panel cables 
- Carefully unscrew the disk drive backplane's
captive thumbscrews
until fully loose as shown in Figure 19.
- Tilt the disk drive backplane in the direction that is shown and then slide it to the side so that the disk drive backplane cutouts clear the tabs in the chassis.
- Remove the disk drive backplane.
Figure 19. Removing the disk drive backplane 
- Remove the PCIe3 x8 SAS RAID internal adapter
6 Gb and the front SAS cables from slot P1-C14.
- Lift the blue handles
of the SAS RAID internal adapter in
the direction shown. See Figure 20.
- Lift the SAS RAID internal adapter out of the slot with the front SAS cables still connected to the adapter. Ensure that the front SAS cables do not get caught on any components while you are lifting the SAS RAID internal adapter out of the slot.
Figure 20. Removing the SAS RAID internal adapter 
- Lift the blue handles
- Remove the filler from slot P1-C15.
- Remove the time-of-day battery from its corresponding
slot
on the system backplane, as shown
in Figure 21.
Ensure to record the orientation of the polarity of the battery so
that you can insert it with the same orientation later. Note: The orientation of the + of the battery is towards the power supplies or middle of the system.Attention: When removing the battery, do not use a metallic tool to disengage it from its slot.Figure 21. Removing the time-of-day battery 
- Remove the VPD card. Grasp the VPD card
by the plastic housing and pull it out of its slot in location P1-C13
on the system backplane as shown in Figure 22.
Figure 22. Removing the VPD card 
- Open the hinged air baffle.
- Pull the latches
to disengage the air baffle from the
chassis. - Lift the air baffle
up to open it.
Figure 23. Opening the air baffle 
- Pull the latches
- Label and remove the memory modules, then
remove the memory module fillers.
- Record the location of each memory module, then remove the module. Each module must be installed in the same location on the new system backplane.
- To unlock the memory module from its connector in the
slot, push the locking tabs
in the direction that is shown in Figure 24. The lever
action of the tabs forces the memory module out of the connector.
- Hold the memory module by the edges and pull it out of the system.
- Repeat steps b and c to remove the memory module fillers.
Figure 24. Removing a memory module from the system 
- Remove the hinged air baffle.
- Pull the air baffle to disengage it from the chassis
clasp
. - Lift the air baffle up to remove it.
Figure 25. Removing the air baffle 
- Pull the air baffle to disengage it from the chassis
clasp
- Label and remove the system processor
modules and heat sinks, starting with P1-C32.
- Remove the heat sink.
- Loosen the heat sink actuation screw by turning the supplied 5.5
mm nut driver (part number 43W3032) counterclockwise
until the screw becomes loose and
moves freely as shown in Figure 26. - Grip the heat sink
by the grooves on opposing sides and
remove it by lifting straight up. - Inspect the heat sink for any dust or debris on it. If you must remove dust or debris from the heat sink, it must be done in another room or greater than 25 feet (7.62 meters) away from work area.
- Place the heat sink upside down on an electrostatic discharge (ESD) surface.
Figure 26. Removing the heat sink 
- Loosen the heat sink actuation screw by turning the supplied 5.5
mm nut driver (part number 43W3032) counterclockwise
- Remove dust and debris from the system processor module
area.
- If dust or debris is present, use the supplied air pump (part number 45D2645) to clean the system processor module area. Blow small bursts of air from the center toward the sides of the system processor module as shown in Figure 27.
Figure 27. Removing dust and debris from the system processor module area 
- Prepare the system processor module for removal.
- Using the supplied removal tool (part number 00E8483), align the
beveled corner
of the tool over the beveled corner
of the system processor module as shown in Figure 28. - Lower the tool over the system processor module by ensuring the
two guide pins
are inserted into the alignment holes
on each side of the tool. Figure 28. Lowering the removal tool onto the system processor module 
- With the removal tool
sitting on top of the system processor
module, push down on the tool to lock the system processor module
into the tool, as shown in Figure 29. Make
sure that both of the tool jaws are locked on the system processor
module. Do not press the blue release tabs until directed to do so
later. Note: The tool drops slightly when you push down so that the jaws can grab the bottom of the system processor module.Figure 29. Locking the system processor module into the tool 
- Using the supplied removal tool (part number 00E8483), align the
beveled corner
- Holding the outside of the tool, lift the tool and system
processor module from the socket. Place them at an angle in the top
cover of the system processor module packaging (if available), or
other appropriate ESD surface, as shown in Figure 30. Note: Setting the tool and system processor module at an angle on the top cover of the system processor module packaging will make it easier to pick up and place in the packaging after you replace the system processor module.
Figure 30. Placing the tool at an angle on the top cover of the packaging 
- Squeeze the two blue tabs to release the system processor
module from the tool. See Figure 31.
Note: To prevent the system processor module from falling, do not squeeze the two tabs before you place the tool on the top cover of the system processor module packaging.
Figure 31. Releasing the system processor module from the tool 
- If a second system processor module is present in P1-C33, repeat the steps above to remove the second system processor module.
- Remove the heat sink.
- Remove the USB cable cover on the side
of the system chassis. Grasp the top handle of the cover and pull
out and away from the side of the chassis. Push the cover toward the
rear of the system until the slots on the cover clear the pins on
the side of the chassis, then remove the cover. See Figure 32.
Figure 32. Removing the USB cable cover 
- Disconnect the I2C cable from the I2C interface card in location P1-C8. Route the cable over the right side of the system and out of the way to provide clearance for removing the system backplane. It may be necessary to remove the I2C interface card to disconnect the cable.
- Remove the system I/O card.
- Unlock the blue latch by pushing the latch clip and then lift up the blue locking latch in the direction shown in Figure 33. This action unlocks the system I/O card from the slot in the system rear bulkhead.
- Pull out the system I/O card from the slot by holding the card bracket and by supporting the bottom of the card.
Figure 33. Removing the system I/O card 
- Remove the rear USB cable.
- Unplug the rear USB cable
from the system backplane. See Figure 34.
- At the rear of the system, press on the tabs
in the direction that is shown to
release the rear USB cable housing
. - Pull the rear USB cable out from the top of the system.
Figure 34. Removing the rear USB cable 
- Unplug the rear USB cable
- Disconnect and remove the power distribution
signal cable
from the rear of the power supply
assembly and the system backplane connector. See Figure 35.
Figure 35. Removing the power distribution signal cable 
- Label and remove the PCIe adapters.
Table 2. Location and description of PCIe adapters Location Description C3, C5 PCIe two port card (if installed) C6, C7 PCIe two port card C8 I2C interface card C10 Ethernet adapter C11 Ethernet adapter, 10 Gb and 1 Gb (if installed) C12 RS485 serial interface card - To set the adapter latch
at the target slot into the open position,
rotate the latch
on the rear of the system, in the
direction shown in Figure 36.
- Carefully grasp the adapter
by its top edge or tailstock, and
remove the adapter from the slot, as shown in Figure 36.
Attention: A pin on the tailstock of the adapter resembles a removable screw. Do not remove this pin. It is required for correct alignment and seating.Figure 36. Removing a PCIe adapter from a rack-mounted system 
- Place the removed adapter on an approved ESD surface.
- To set the adapter latch
- Remove the PCI adapter dividers. Note: The PCI adapter divider between PCI adapter slots P1-C1 and P1-C2 is unique and has three light pipes. This divider must be replaced into the same location.
- Hold the top edge of the PCI adapter divider
and flex the divider out of the bracket
and toward the rest of the divider. See Figure 37.
- Press down on the retaining latch at the back edge of
the divider
. Pull the divider away from the system
chassis, then lift out to remove it from the system. - Repeat this step to remove remaining PCI adapter dividers.
Figure 37. Removing the PCI adapter dividers 
- Hold the top edge of the PCI adapter divider
- Remove the system backplane.
- Using a Phillips screwdriver, unscrew and remove 10
black screws
that mount the system backplane to
the chassis as shown in Figure 38.
- Using a Phillips screwdriver, unscrew and remove two
silver screws
as shown in Figure 38.
Figure 38. Location of system backplane screws 
- Using a Phillips screwdriver, unscrew and remove screw
. See Figure 39.
- Unscrew the captive thumbscrew
until fully loose. See Figure 39.
- Slide the system backplane in the direction that is
shown in Figure 39,
then lift it up to remove it.
Figure 39. Removing the system backplane 
- Using a Phillips screwdriver, unscrew and remove 10
black screws
Replacing the CEC enclosure system backplane
About this task
To replace the system backplane, complete the following steps:
Procedure
- Ensure that you have the electrostatic discharge (ESD) wrist strap attached. If not, attach it now.
- Install the system backplane.
- Using the top guide rails towards the front of the replacement backplane D , slide it in the direction that is shown to install it in the chassis as is shown in Figure 40.
- Tighten the captive thumbscrew
. - Using a Phillips screwdriver, install and tighten screw
that secures the backplane to the
side of the chassis. Figure 40. Installing the system backplane 
- Using a Phillips screwdriver, install and tighten 10
black screws
as shown in Figure 41. - Using a Phillips screwdriver, install and tighten two
silver screws
as shown in Figure 41. Figure 41. Location of system backplane screws 
- Replace the PCI adapter dividers.
Note: One PCI adapter divider is unique. It has three light pipes and must be installed in the location between PCI adapter slots P1-C1 and P1-C2.
- Holding the top edge of the PCI adapter divider
, align the divider with its slot in
the system. - Slide the divider toward the retention notches
as shown in Figure 42. - Ensure that the tabs on the divider align with the notches
on the system chassis. Note: The light pipes below the light-pipe plate must fit through the holes in the plate. - Press on the divider until the lower edge guide pin
slides into the slot to secure the
divider. - Repeat this step for the other PCI adapter dividers to be installed.
Figure 42. Installing the PCI adapter dividers 
- Holding the top edge of the PCI adapter divider
- Replace the PCIe adapters.
Table 3. Location and description of PCIe adapters Location Description C3, C5 PCIe two port card (if installed) C6, C7 PCIe two port card C8 I2C interface card C10 Ethernet adapter C11 Ethernet adapter, 10 Gb and 1 Gb (if installed) C12 RS485 serial interface card - If the adapter latch
at the target slot is not already
in the open position, pull the latch into the open position by rotating
the latch outwards from its clip on the back of the system, as shown
in Figure 43. Attention: A pin on the tailstock of the adapter resembles a removable screw. Do not remove this pin. It is required for correct alignment and seating. - Carefully grasp the adapter by its top edge or tailstock, and align the adapter with the slot and its connector on the system backplane, as shown in Figure 43.
- On the system, press the adapter firmly into its connector.
- To lock the adapter in its slot, rotate the adapter
latch
in the direction that is shown in Figure 43.
Figure 43. Installing or replacing a PCIe adapter in a rack-mounted system 
- If the adapter latch
- Reconnect the I2C cable to the I2C interface card in location P1-C8. This cable was disconnected and routed over the right side of the system to allow clearance for removing and reinstalling the system backplane. It may be necessary to remove the I2C interface card to reconnect the cable, then reinstall the I2C interface card.
- Reconnect the power distribution signal
cable
to the rear of the power supply assembly
and the system backplane connector. See Figure 44. Figure 44. Replacing the power distribution signal cable 
- Replace the rear USB cable.
- Insert the rear USB cable housing
into the opening on the rear of the
system at location P1-T1, P1-T2, as shown in Figure 45. - Route the cable along the right side of the chassis.
- Plug the other end of the rear USB cable
into the connector on the system backplane.
Figure 45. Replacing the rear USB cable 
- Insert the rear USB cable housing
- Replace the system I/O card.
- With the blue locking latch in the open position, align the system I/O card with the guide rails on the system and slide the card straight into the card slot, as shown in Figure 46.
- Rotate the blue locking latch in the direction shown in Figure 46 to lock the system I/O card in position.
Figure 46. Replacing the system I/O card in a rack-mounted system 
- Replace the USB cable cover by inserting
the slots on the cover over the pins on the chassis. Grasp the top
handle of the cover and pull the cover toward the front of the system.
Pull the cover forward until the slots are seated on the pins and
the top handle of the cover latches. See Figure 47.
Figure 47. Replacing the USB cable cover 
- Replace the system processor modules
and heat sinks, starting with P1-C32.
- Prepare the system processor module for installation:
- Remove the replacement processor module from the shipping tray.
Using the supplied removal tool (part number 00E8483), align the beveled
corner
of the tool over the beveled corner
of the module, as shown in Figure 49. - Lower the tool over the system processor module by ensuring that
the two guide pins
are inserted into the alignment holes
on each side of the tool, as shown
in Figure 49. Then, push
down on the tool to lock the system processor module into the tool,
as shown in Figure 48. Do not press
the blue release tabs until directed to do so later.
Figure 48. Preparing for system processor module installation 
Figure 49. Locking the system processor module into the tool 
- Remove the replacement processor module from the shipping tray.
Using the supplied removal tool (part number 00E8483), align the beveled
corner
- Prepare for system processor module installation:
- Grasping the sides of the tool and system processor module, carefully lift it slightly out of the system processor module tray. Then, turn it over so that the system processor module side is up.
- Ensure that both jaws
are firmly grabbing the system processor
module, as shown in Figure 50.
Note: If both jaws are not firmly grabbing the system processor module, press down on the corner of the system processor module closest to the jaw until it locks into place. Do not touch any part of the system processor module other than the corners.
Figure 50. Preparing for system processor module installation 
- Install the system processor module:
- Lower the tool and system processor module onto the socket, ensuring
that the two guide pins are inserted into the alignment holes on each
side of the tool, as shown in Figure 51. Note: Do not attempt to slide the tool and the system processor module in any direction while the system processor module is touching the socket. If the tool and the system processor module are not aligned with the guide pins, lift the tool and the system processor module and reposition them.
Figure 51. Installing the system processor module 
- After the tool and system processor module holes and guide pins
are properly aligned, squeeze and hold the two blue release tabs
together until a firm stop is reached,
as shown in Figure 52.
Then, lift the tool off the system processor module.Figure 52. Removing the system processor module tool 
- Lower the tool and system processor module onto the socket, ensuring
that the two guide pins are inserted into the alignment holes on each
side of the tool, as shown in Figure 51.
- Inspect the thermal interface material (TIM) for visible
signs of damage, as shown in Figure 53.
Note: When the heat sink is removed from the failed system processor module, the TIM should be adhered to the heat sink. Unless damaged, the TIM that is adhered to the heat sink can be reused. Replacing the TIM is optional and is only performed if the TIM is damaged. Do not reuse the removed heat sink if the TIM is damaged. Either discard the heat sink and the damaged TIM locally or return them to IBM based on part-order-form part status. It is recommended that a spare TIM and heat sink, part number 00E8868, be on hand when replacing the system processor module.
Figure 53. Inspecting the thermal interface material 
- Install the heat sink:
- Lower the heat sink over the system processor module, ensuring
that the two guide pins
are inserted into the alignment holes
on each side of the tool, as shown in Figure 54. - Ensure that the heat sink load arm is engaged. Note: If the load arm is not engaged, you must manually engage the load arm onto the heat sink while the load screw is being tightened. See Figure 55.
Figure 54. Installing the heat sink 
- Lower the heat sink over the system processor module, ensuring
that the two guide pins
- Secure the heat sink:
- Upon placing the heat sink on the system processor module, ensure that the heat sink load arm on the side of the heat sink becomes engaged, as shown in Figure 55.
- While you are holding the heat sink in place, use the supplied 5.5 mm nut driver (part number 43W3032) to tighten the heat sink actuation screw. Turn the screw clockwise a few turns.
- Is the load arm still engaged?
Yes: Continue turning the actuation screw clockwise until a firm stop is reached. If a torque tool is available, tighten the screw to 2.5 nm.
No: Unscrew the actuation screw. Hold the load arm onto the heat sink while you are tightening the screw until a firm stop is reached. If a torque tool is available, tighten the screw to 2.5 nm.
Note: If during this step, the heat sink moves noticeably, it is likely that the load arm is not engaged. If the heat sink moves noticeably, unscrew the actuation screw and hold the load arm onto the heat sink while you are tightening the screw until a firm stop is reached. If a torque tool is available, tighten the screw to 2.5 nm.
Figure 55. Securing the heat sink 
- Prepare the system processor module for installation:
- If a second system processor module was removed from P1-C33, repeat the steps above to install the second system processor module. Otherwise, install a processor slot cover if a cover is not already present.
- Replace the hinged air baffle.
- Push the air baffle toward the chassis.
- Fix the air baffle to the chassis by pushing the clasp
onto the chassis
until it locks into place.
Figure 56. Replacing the air baffle 
- Replace the memory modules and slot fillers.
- Use the slot information that you recorded to determine the slot location to place the memory modules and fillers.
- Grasp each memory module along its edges and align it
with the slot. Attention: Memory modules are keyed to prevent a memory module from being installed incorrectly. Note the location of the key tab within the memory module connector before you attempt to install the memory module.
- Press the memory module firmly into the slot until the
locking tab
locks in place. See Figure 57. - Repeat steps b and c to replace the remaining memory modules and install slot fillers in the remaining slots.
Figure 57. Installing or replacing a memory module 
-
Replace the VPD card. Insert the VPD card into its slot in location P1-C13 on the system
backplane as shown in Figure 58. Push the VPD card into
place until it is fully seated.
Figure 58. Replacing the VPD card 
- Replace the time-of-day battery. Insert the
time-of-day battery in the slot on the system backplane, as shown
in Figure 59. Ensure to insert
the battery with the correct polarity as recorded during removing
of the battery. Note: The orientation of the + of the battery is towards the power supplies or middle of the system.
Figure 59. Inserting the time-of-day battery 
- Align the disk drive backplane with its corresponding connectors inside the system.
- Using the ledge at the top of the disk drive backplane and facing towards the front of the system, replace the backplane. Tilt it towards the rear and lower it down into the chassis. Align the backplane cutouts with the tabs in the chassis to insert it into the system. Slide the backplane to the side as is shown in Figure 60.
- Carefully tighten the captive thumbscrews
until each one is secured to the system's
chassis. Figure 60. Replacing the disk drive backplane 
- Replace the PCIe3 x8 SAS RAID internal adapter
6 Gb. Do not connect the front SAS cables to the disk drive backplane
at this time.
- Reconnect the front SAS cables to the SAS RAID internal adapter front connector, if not already connected, before you install the adapter. Push the cable connector in until the connector latch clicks.
- Route the front SAS cables into position while you are lowering the SAS RAID internal adapter into the slot.
-
Complete the installation of the SAS RAID internal adapter by fully seating it. Ensure that the
adapter is installed on the locating pin. Push the blue handles
in the direction that is shown.
See Figure 61.
Figure 61. Installing the SAS RAID internal adapter 
- Replace the filler in slot P1-C15.
-
Reconnect the signal and control panel cables
, and the power Y cable
, to the disk drive backplane and
the system backplane, as shown in Figure 62.
Figure 62. Reconnecting the power, signal, and control panel cables 
- Reconnect the front SAS cables to
the disk drive backplane as is shown in Figure 63. Push the connector in
until the connector latch clicks. Arrange the cables against the side
of the chassis.
Figure 63. Reconnecting the front SAS cables
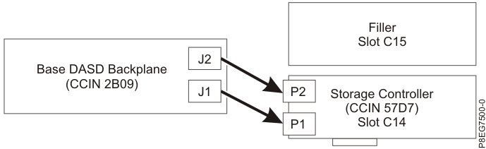
Note: With one PCIe3 x8 SAS RAID internal adapter (CCIN 57D7) in slot P1-C14 (base-storage feature), one SAS cable connects the lower disk drive backplane connector (J1) to the P1 connector on the adapter. A SAS cable connects the upper disk drive backplane connector (J2) to the P2 connector on the same adapter. See Figure 64.Figure 64. Reconnecting the SAS cable in a base-storage configuration 
- Replace the SAS cable cover. Place the
cover slots onto the pins on the side of the chassis. The triangle
symbol on the SAS cable cover lines up with the triangle symbol on
the side of the chassis when the cover slots and pins are aligned
correctly. Push the cover forward toward the front of the system until
the handle latches in place. See Figure 65.
Figure 65. Replacing the SAS cable cover 
- Replace the fan cage with the fans installed.
- Ensure that there are no cables obstructing the fan
cage installation area. Important: Failure to ensure that the cables are tucked out of the way can damage the cables.
-
Lower the fan cage into the system by holding on to the blue touch point latches
, as shown in Figure 66.
- Push down on the fan cage to seat in the system.
-
Rotate the latches
as shown in Figure 66, to lock the fan cage in place.
Figure 66. Replacing the fan cage in a rack-mounted system 
- Ensure that there are no cables obstructing the fan
cage installation area.
- Close the hinged air baffle.
-
Push down the air baffle
toward the chassis.
-
Press the side latches
to latch the air baffle to the chassis.
Figure 67. Closing the air baffle 
-
Push down the air baffle
Preparing the CEC enclosure for operation after removing and replacing the system backplane
About this task
To prepare the system for operation, complete the following steps:
Procedure
- Ensure that you have the electrostatic discharge (ESD) wrist strap attached. If not, attach it now.
- Replace the service access cover.
- Slide the cover
on to the system unit. - Close the latch release
by pushing it in the direction shown.
Figure 68. Installing the service access cover 
- Slide the cover
- Ensure that you have the electrostatic discharge (ESD) wrist strap attached. If not, attach it now.
- Reseat the disk drives into their slots.
- Unlock the drive bay handle
by pressing it and pulling it out
toward you. If the handle is not all the way out, the drive does not
slide into the system. See Figure 69.
- Hold the drive by the top and bottom edges as you position the drive, and insert it into the drive slot.
- Slide the drive all the way into the system, and push
the drive bay handle
in until it locks, as shown in Figure 69. Important: Ensure that the drive is fully seated and is all the way into the system.
Figure 69. Replacing a disk drive 
- Unlock the drive bay handle
- Replace the Slimline media device (DVD)
(if one was removed).
- Align the Slimline media device
with the media bay, and support the
bottom of the device as you slide it halfway into the system. See Figure 70. - Push the Slimline media device fully into the system until the device locks in place.
Figure 70. Replacing a Slimline media device 
- Align the Slimline media device
- Replace the control panel.
- Align the control panel with the control panel slot.
- Slide the control panel into the slot, and press on the terracotta tab to lock it in place.
Figure 71. Replacing the control panel 
- Place the CEC enclosure into the operating
position.
- Ensure that you have the electrostatic discharge (ESD) wrist strap attached. If not, attach it now.
- Unlock the blue rail safety latches
by lifting them upward. - Push the system unit
back into the rack until both system
unit release latches lock into position. - Secure the enclosure to the rack with screws, if screws were removed when preparing the enclosure for service.
Figure 72. Placing the CEC enclosure into the operating position 
- Replace the front cover.
- Push the cover onto the system.
- Gently push the cover in until the cover clips
are seated in their respective mounting
posts as shown in Figure 73.
The cover snaps into place and has an indentation where you can hold
onto it more easily. - Replace the shipping screws
.
Figure 73. Installing the front cover 
- Attach the electrostatic discharge (ESD) wrist strap.
- Replace the power supplies. DO NOT
connect the power cords at this time.
Align each power supply
with the bay and slide the power supply
into the system until the terracotta latch
locks in place, as shown in Figure 74. Figure 74. Replacing a power supply 
- Reconnect all cables, except for
power cords. See Table 4 and Figure 75.
If optical Ethernet connections are used, use proper cleaning procedures.Important: The optical cable plugs (LC connectors) and ports (SFPs) must be cleaned before connecting them. Use cleaning tool 54Y4392 or IBM-approved alternative. After cleaning SFPs with the tool, use air bulb 45D2645 or IBM-approved alternative. For detailed procedures, refer to current DS8000 Info Alerts or contact your next level of support.
Table 4. CEC enclosure cable connections Connection Description P1-T3 (HMC 1) FSP Ethernet P1-T4 (HMC 2) FSP Ethernet P1-C3-T1, P1-C3-T2 PCIe to I/O enclosures (if C3 present) P1-C5-T1, P1-C5-T2 PCIe to I/O enclosures (if C5 present) P1-C6-T1, P1-C6-T2 PCIe to I/O enclosures P1-C7-T1, P1-C7-T2 PCIe to I/O enclosures P1-C8-T1, P1-C8-T2 i2c to RPCs P1-C10-T1, P1-C10-T2 LPAR Ethernet P1-C10-T3, P1-C10-T4 Customer network (optional feature, if used) P1-C11-T1, P1-C11-T2
P1-C11-T3, P1-C11-T4Customer network (optional feature, if used) P1-C12-T1, P1-C12-T2 RS485 to RPCs - Replace filler plugs (if removed)
at the rear of the CEC enclosure. See Figure 75.
- Replace the filler plugs in USB ports P1-T1, P1-T2, P1-C1-T2, P1-C1-T3 and serial port P1-C1-T1.
- Replace the filler plugs in Ethernet ports P1-C10-T3 and P1-C10-T4.
- Replace the filler plugs in Ethernet ports P1-C11-T1, P1-C11-T2, P1-C11-T3, and P1-C11-T4.
Figure 75. CEC enclosure location codes (rear view) (Models 981, 985, and 986) 
- Reconnect the power cords
to the CEC enclosure. See Figure 76. - Fasten the power cords to the enclosure
using the hook-and-loop fasteners
. Figure 76. Connecting the power cords 
- Verify that the CEC enclosure has
power available. See Figure 77.
- At the rear of the CEC enclosure, view the CEC enclosure power supply DC LEDs.
- Are all DC (output) LEDs flashing?
- Yes, continue with the next step.
- No, ensure the power cords are properly connected. If no connection problem is found, contact your next level of support.
Figure 77. Location of the power supplies and LEDs (Models 981, 985, 986) 
- Wait up to 5 minutes for the CEC enclosure
control panel power button LED
to flash. See Figure 78. Note: This ensures the CEC enclosure is in the power-off state.Is the power button LED flashing?
- Yes, go to the next step.
- No, ensure the CEC enclosure power supplies are fully seated. The possible failing FRUs are the CEC enclosure system backplane, I2C interface card and cables, and control panel. You can also call the next level of support.
Figure 78. Control panel LEDs 
- Close the rear door of the rack.
- Exit this service information center parts exchange procedure and return to the procedure that sent you here.